ePN🌐IPLC专线推荐选购指南:
https://iplc.best/

🤝 联系频道主:
@IPLC_BEST_CHATBOT
Anthropic 推出Claude Sonnet 4.6

Claude Sonnet 4.6 是我们目前最强大的 Sonnet 模型,对编码、电脑操作、长上下文推理、智能体规划、知识类工作和设计能力都进行了全面升级。Sonnet 4.6 还在测试阶段支持 100 万token的上下文窗口。

价格与 Sonnet 4.5 相同,起价为每百万token $3 输出/ $15 输出。

对于我们的免费和Pro计划用户,Claude Sonnet 4.6 现已在 claude.ai 和 Claude Cowork 中设为默认模型。

🗒 标签: #Anthropic #Claude #AI
📢 频道: @GodlyNews1
🤖 投稿: @GodlyNewsBot
Media is too big
VIEW IN TELEGRAM
Since so many of you participated in this recent survey, we’ve got a little belated Valentine’s gift for you, in case you haven't claimed it already 🎁❤️

For a limited time, you can order a VPS 1000 or VPS 2000 (hourly billing) with no setup fee and no minimum contract period – perfect for testing projects as for example OpenClaw without any long-term commitment.

You can find the offer here 👉 https://sohub.io/af0v
#视频 #下载 #开源

yt-dlp GUI

yt-dlp 图形化下载工具,可从 YouTube、TikTok、B 站等站点抓取视频、音频,甚至整个播放列表并一键下载,支持设置下载格式、清晰度、使用 cookie 下载、批量下载、内嵌历史记录管理,以及可选的代理支持以解决地区限制,免费开源,适用于 Windows 和 macOS 系统。

🐙 GitHub

频道 @WidgetChannel
感觉不如nextdns / adguard
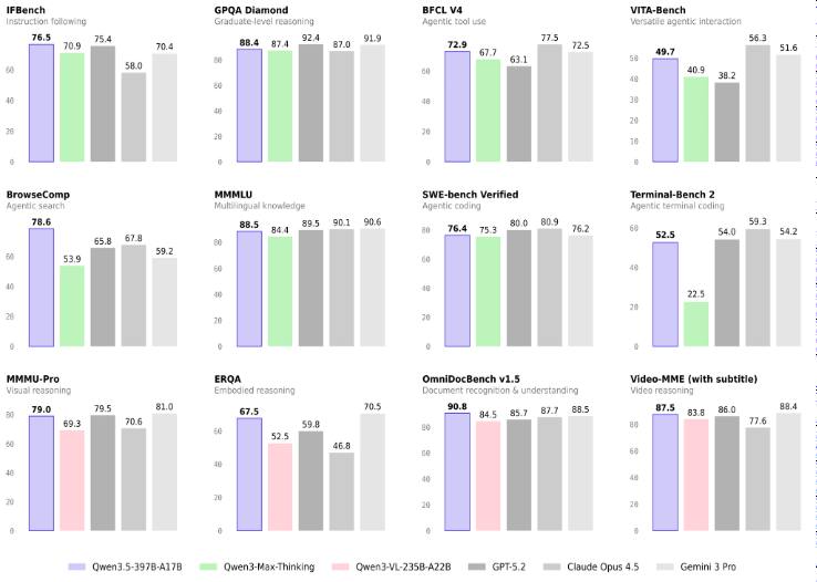
阿里开源Qwen3.5-Plus,性能媲美Gemini 3 Pro,登顶全球最强开源模型

千问3.5实现了底层模型架构的全面革新,此次发布的Qwen3.5-Plus版本总参数为3970亿,激活仅170亿,以小胜大,性能超过万亿参数的Qwen3-Max模型,部署显存占用降低60%,推理效率大幅提升,最大推理吞吐量可提升至19倍。Qwen3.5-Plus的API价格每百万Token低至0.8元,仅为Gemini 3 pro的1/18。

千问3.5在文本和视觉的混合数据上预训练,实现了原生多模态的新突破,在推理、编程、Agent智能体等全方位基准评估中均表现优异,并在视觉理解能力的权威评测中斩获数项性能最佳。

据悉,千问APP、PC端已第一时间接入Qwen3.5-Plus模型。开发者可在魔搭社区和HuggingFace下载新模型,或通过阿里云百炼直接获取API服务。

🗒 标签: #阿里巴巴 #千问 #Qwen
📢 频道: @GodlyNews1
🤖 投稿: @GodlyNewsBot
OpenClaw创始人加入OpenAI,Altman直言,Steinberger“是个天才”

Peter Steinberger最终拒绝Meta,选择加入OpenAI。


OpenAI CEO Sam Altman周日通过社交媒体X正式确认,开源智能体OpenClaw的创作者Peter Steinberger将加入公司。

对于市场关注的项目归属,双方给出了定心丸:OpenClaw不会被私有化,而是转入独立基金会继续开源,OpenAI承诺提供支持。
“Peter Steinberger加入OpenAI是为了推动下一代个人智能体(personal agents)的开发。” Altman写道,“我们预计这将很快成为我们产品供应的核心。”

“他(Steinberger)是个天才,对于未来非常聪明的智能体之间如何互动、从而为人类做非常有用的事情,有着许多惊人的想法。”

他强调:“未来将是一个极度多智能体(extremely multi-agent)的世界,作为其中的一部分,支持开源对我们来说很重要。”


Steinberger加入OpenAI后的核心任务非常明确且直白:解决AI的易用性。
我的下一个使命是构建一个连我妈妈都能使用的智能体。这需要更广泛的变革,对如何安全地实现这一目标进行更多的思考,以及获得最新模型和研究的权限。”


据透露,Meta打的是“CEO直聘”牌。扎克伯格不仅亲自试用产品,甚至与Steinberger通电话讨论代码细节,试图用“技术共鸣”打动对方。Steinberger曾评价:“小扎懂我。”

但最终,OpenAI用绝对的“硬实力”赢下了这一局。Altman直接展示了Cerebras合作带来的顶级算力潜能以及Codex模型的深度支持。在当前的AI研发中,算力即真理。

Steinberger坦言:“最终,我觉得OpenAI是继续推动我的愿景并扩大其影响力的最佳场所。”

🗒 标签: #OpenAI #OpenClaw
📢 频道: @GodlyNews1
🤖 投稿: @GodlyNewsBot
春晚YouTube直播,就说这种直播你能稳定4k不掉速,说明你的机器已经及格了,😂

https://www.youtube.com/watch?v=dKC5XWDkfRE
#AI #开源 #语音转文字

Handy

语音转文字工具,可在任何应用中通过快捷键启动录音、自动检测语音并实时生成文字,随后将转写结果自动粘贴至当前文本框,无需切换窗口,且完全离线运行,集成 Whisper 系列模型及 CPU 优化的 Parakeet V3 模型,既可在 GPU 环境下加速推理,也可在仅依赖 CPU 的通用设备上运行,免费开源,适用于 Windows、macOS 和 Linux 系统。

❤️主页 🐙GitHub

频道 @WidgetChannel
Back to Top