Claude Sonnet 4.6 是我们目前最强大的 Sonnet 模型,对编码、电脑操作、长上下文推理、智能体规划、知识类工作和设计能力都进行了全面升级。Sonnet 4.6 还在测试阶段支持 100 万token的上下文窗口。
价格与 Sonnet 4.5 相同,起价为每百万token $3 输出/ $15 输出。
对于我们的免费和Pro计划用户,Claude Sonnet 4.6 现已在 claude.ai 和 Claude Cowork 中设为默认模型。
ProxCenter 提供了一个现代化的统一 Web 界面,用于监控、管理和优化您的 Proxmox 虚拟化基础架构。您可以管理多个集群、自动进行工作负载均衡,并深入了解您的基础架构。
https://github.com/adminsyspro/proxcenter-ui
https://github.com/adminsyspro/proxcenter-ui
Since so many of you participated in this recent survey, we’ve got a little belated Valentine’s gift for you, in case you haven't claimed it already 🎁❤️
For a limited time, you can order a VPS 1000 or VPS 2000 (hourly billing) with no setup fee and no minimum contract period – perfect for testing projects as for example OpenClaw without any long-term commitment.
You can find the offer here 👉 https://sohub.io/af0v
For a limited time, you can order a VPS 1000 or VPS 2000 (hourly billing) with no setup fee and no minimum contract period – perfect for testing projects as for example OpenClaw without any long-term commitment.
You can find the offer here 👉 https://sohub.io/af0v
基于 Cloudflare 边缘网络的 Serverless 可用性监控与状态页
https://github.com/VrianCao/Uptimer/tree/master
https://github.com/VrianCao/Uptimer/tree/master
yt-dlp GUI
yt-dlp 图形化下载工具,可从 YouTube、TikTok、B 站等站点抓取视频、音频,甚至整个播放列表并一键下载,支持设置下载格式、清晰度、使用 cookie 下载、批量下载、内嵌历史记录管理,以及可选的代理支持以解决地区限制,免费开源,适用于 Windows 和 macOS 系统。
频道 @WidgetChannel
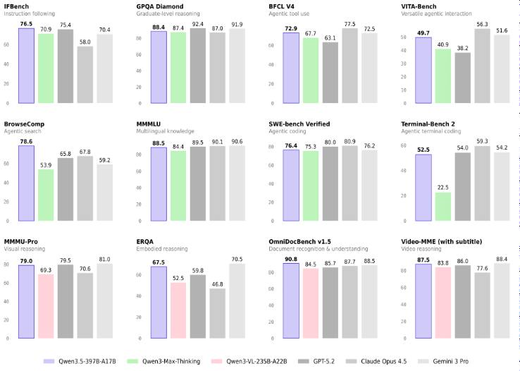
千问3.5实现了底层模型架构的全面革新,此次发布的Qwen3.5-Plus版本总参数为3970亿,激活仅170亿,以小胜大,性能超过万亿参数的Qwen3-Max模型,部署显存占用降低60%,推理效率大幅提升,最大推理吞吐量可提升至19倍。Qwen3.5-Plus的API价格每百万Token低至0.8元,仅为Gemini 3 pro的1/18。
千问3.5在文本和视觉的混合数据上预训练,实现了原生多模态的新突破,在推理、编程、Agent智能体等全方位基准评估中均表现优异,并在视觉理解能力的权威评测中斩获数项性能最佳。
据悉,千问APP、PC端已第一时间接入Qwen3.5-Plus模型。开发者可在魔搭社区和HuggingFace下载新模型,或通过阿里云百炼直接获取API服务。
Peter Steinberger最终拒绝Meta,选择加入OpenAI。
OpenAI CEO Sam Altman周日通过社交媒体X正式确认,开源智能体OpenClaw的创作者Peter Steinberger将加入公司。
对于市场关注的项目归属,双方给出了定心丸:OpenClaw不会被私有化,而是转入独立基金会继续开源,OpenAI承诺提供支持。
“Peter Steinberger加入OpenAI是为了推动下一代个人智能体(personal agents)的开发。” Altman写道,“我们预计这将很快成为我们产品供应的核心。”
“他(Steinberger)是个天才,对于未来非常聪明的智能体之间如何互动、从而为人类做非常有用的事情,有着许多惊人的想法。”
他强调:“未来将是一个极度多智能体(extremely multi-agent)的世界,作为其中的一部分,支持开源对我们来说很重要。”
Steinberger加入OpenAI后的核心任务非常明确且直白:解决AI的易用性。
“我的下一个使命是构建一个连我妈妈都能使用的智能体。这需要更广泛的变革,对如何安全地实现这一目标进行更多的思考,以及获得最新模型和研究的权限。”
据透露,Meta打的是“CEO直聘”牌。扎克伯格不仅亲自试用产品,甚至与Steinberger通电话讨论代码细节,试图用“技术共鸣”打动对方。Steinberger曾评价:“小扎懂我。”
但最终,OpenAI用绝对的“硬实力”赢下了这一局。Altman直接展示了Cerebras合作带来的顶级算力潜能以及Codex模型的深度支持。在当前的AI研发中,算力即真理。
Steinberger坦言:“最终,我觉得OpenAI是继续推动我的愿景并扩大其影响力的最佳场所。”