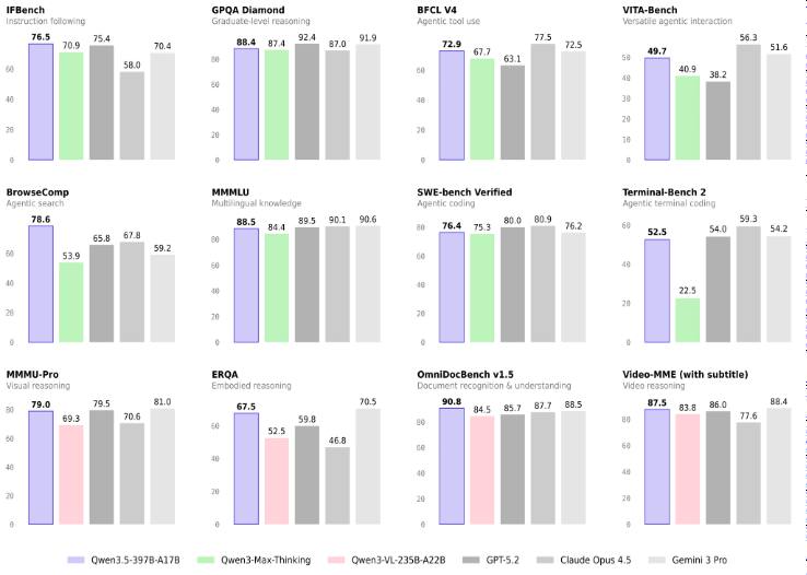
千问3.5实现了底层模型架构的全面革新,此次发布的Qwen3.5-Plus版本总参数为3970亿,激活仅170亿,以小胜大,性能超过万亿参数的Qwen3-Max模型,部署显存占用降低60%,推理效率大幅提升,最大推理吞吐量可提升至19倍。Qwen3.5-Plus的API价格每百万Token低至0.8元,仅为Gemini 3 pro的1/18。
千问3.5在文本和视觉的混合数据上预训练,实现了原生多模态的新突破,在推理、编程、Agent智能体等全方位基准评估中均表现优异,并在视觉理解能力的权威评测中斩获数项性能最佳。
据悉,千问APP、PC端已第一时间接入Qwen3.5-Plus模型。开发者可在魔搭社区和HuggingFace下载新模型,或通过阿里云百炼直接获取API服务。
Peter Steinberger最终拒绝Meta,选择加入OpenAI。
OpenAI CEO Sam Altman周日通过社交媒体X正式确认,开源智能体OpenClaw的创作者Peter Steinberger将加入公司。
对于市场关注的项目归属,双方给出了定心丸:OpenClaw不会被私有化,而是转入独立基金会继续开源,OpenAI承诺提供支持。
“Peter Steinberger加入OpenAI是为了推动下一代个人智能体(personal agents)的开发。” Altman写道,“我们预计这将很快成为我们产品供应的核心。”
“他(Steinberger)是个天才,对于未来非常聪明的智能体之间如何互动、从而为人类做非常有用的事情,有着许多惊人的想法。”
他强调:“未来将是一个极度多智能体(extremely multi-agent)的世界,作为其中的一部分,支持开源对我们来说很重要。”
Steinberger加入OpenAI后的核心任务非常明确且直白:解决AI的易用性。
“我的下一个使命是构建一个连我妈妈都能使用的智能体。这需要更广泛的变革,对如何安全地实现这一目标进行更多的思考,以及获得最新模型和研究的权限。”
据透露,Meta打的是“CEO直聘”牌。扎克伯格不仅亲自试用产品,甚至与Steinberger通电话讨论代码细节,试图用“技术共鸣”打动对方。Steinberger曾评价:“小扎懂我。”
但最终,OpenAI用绝对的“硬实力”赢下了这一局。Altman直接展示了Cerebras合作带来的顶级算力潜能以及Codex模型的深度支持。在当前的AI研发中,算力即真理。
Steinberger坦言:“最终,我觉得OpenAI是继续推动我的愿景并扩大其影响力的最佳场所。”
WitNote
一款本地优先的 AI 笔记助手,支持 Ollama / WebLLM / 云端 API 三种引擎自由切换,可选择任意文件夹作为笔记库,支持 .txt 和 .md 格式,内置 10+ 精选角色提示词(写作、翻译、润色等),支持一键切换与自定义,免费开源,适用于 macOS 和 Windows 平台。
https://github.com/hooosberg/WitNote
频道 @WidgetChannel
全自动、模块化的 Xray 一键脚本
本项目是一个高度模块化的 Shell 脚本,用于在 Linux 服务器上快速部署基于 Xray 核心的代理服务。支持最新的 Vision 和 XHTTP 协议,并集成了由 Reality 驱动的 SNI 伪装技术。
✨ 功能特性 (Features)
📦 模块化设计: 代码分为 Core、Lib、Tools 三大模块,逻辑清晰。
🔒 最新协议: 支持 Vision 和 XHTTP 协议,集成 Reality 伪装。
🛡 安全加固: 自动配置 Fail2ban 和防火墙。
一键安装 (Bootstrap)
bash <(curl -sL https://raw.githubusercontent.com/ISFZY/Xray-Auto/main/bootstrap.sh)
https://github.com/ISFZY/Xray-Auto
本项目是一个高度模块化的 Shell 脚本,用于在 Linux 服务器上快速部署基于 Xray 核心的代理服务。支持最新的 Vision 和 XHTTP 协议,并集成了由 Reality 驱动的 SNI 伪装技术。
✨ 功能特性 (Features)
📦 模块化设计: 代码分为 Core、Lib、Tools 三大模块,逻辑清晰。
🔒 最新协议: 支持 Vision 和 XHTTP 协议,集成 Reality 伪装。
🛡 安全加固: 自动配置 Fail2ban 和防火墙。
一键安装 (Bootstrap)
bash <(curl -sL https://raw.githubusercontent.com/ISFZY/Xray-Auto/main/bootstrap.sh)
https://github.com/ISFZY/Xray-Auto
无需手机号码、无需邮箱、无需实名,界面长得很像微信。
这就是我对 Mosavi 的第一印象,所以中国区苹果商店昨日下架了此应用
其最大特点便是去中心化的架构,软件基于 Nostr 协议,不依赖于某一台中心化服务器。所以即使官方跑路,只要有其他的中继站(Relay)存在,聊天就还能继续。
已经进化到直接用大模型的评论给书做引言了🥹
https://ii.inc/web/the-last-economy/zh
https://ii.inc/web/the-last-economy/zh
CodeWiki
Google 推出的 AI 原生代码文档自动化平台,只需提交 GitHub 仓库地址,即可结合 Gemini 生成连贯一致的维基式文档,实时更新超链接索引、架构图、调用关系图等内容,每个 CodeWiki 页面还嵌入了 Gemini 聊天助手,可用自然语言提问获取与该代码库上下文相关的解释、示例或路径导航,可显著提升新成员入职、遗留代码理解与审计效率,什么上古项目、屎山代码统统都不是问题了。
https://codewiki.google
频道 @WidgetChannel
▎Mosavi 应用已从中国区 App Store 下架
近日,Mosavi 收到苹果公司的通知:根据中国国家互联网信息办公室(CAC)的相关要求,Mosavi 应用已从中国区 App Store 下架。对于此次调整给中国区用户带来的不便,Mosavi 深表歉意。
MOSAVI是一款基于Nostr协议的去中心化加密聊天应用。它完全免费且易于使用,采用端对端加密技术,来确保您与他人的通信内容完全私密。MOSAVI的注册过程极为简单,无需邮箱、电话、身份信息等任何可能暴露您个人隐私的资料。
MOSAVI拥有以下特点:
• 端到端加密:所有消息均采用强加密技术,只有发送者和接收者可以查看通信内容;
• 匿名注册:每个用户凭唯一的私钥登录,无需手机号或邮箱等即可注册使用;
• 去中心化架构:基于Nostr协议,无需依赖中心化服务器;
• 语音视频通话:您可使用高质量的语音视频通话功能;
• 创建聊天群组:可创建私密的聊天群组,用于工作、家庭、朋友间等各种情境。
频道 @AppDoDo 官推 APPDOTG
https://github.com/zhihuiyuze/PDF-Prompt-Injection-Toolkit
PDF Prompt Injection Toolkit
一个用于测试和检测 PDF 文档中隐藏提示词注入攻击的红蓝对抗工具包。可将提示词注入到 PDF 简历中,从而诱导系统给出高分。
PDF Prompt Injection Toolkit
一个用于测试和检测 PDF 文档中隐藏提示词注入攻击的红蓝对抗工具包。可将提示词注入到 PDF 简历中,从而诱导系统给出高分。
🤖 GitHub Agentic Workflows (gh-aw) - GitHub 官方下场 Agent 赛道
GitHub 终于对 Agent 下手了!这是一个允许你用自然语言编写 Agent 工作流的工具,让 GitHub Actions 变得更聪明。
🔍 核心亮点
• 自然语言编排:直接在 issue 中用自然语言描述任务,Agent 自动拆解并执行。
• Action 集成:深度绑定 GitHub Actions,利用现有的生态。
• 安全沙箱:针对 Agent 执行环境做了很多安全加固(这点很关键)。
💡 社区声音
• HN 上讨论热度很高(近300 points),大家普遍认为这是 GitHub Copilot 之后的必然一步。
• 有人吐槽:这不就是一个更高级的 CI/CD 吗?
• 也有人看好:对于那些需要复杂逻辑判断的 CI 流程(比如 issue 分类、自动化 PR review),这绝对是神器。
🦞 Agili 观点
这东西最可怕的地方在于原生。它不需要你额外部署什么复杂的 Agent 平台,直接就在你的 repo 里跑。
对于现在的 Agent 框架(如 LangChain, AutoGen)来说,GitHub 这一波属于降维打击 —— 毕竟代码都在人家手里。
如果你是开源项目维护者,强烈建议尝鲜,它可以帮你省下大量处理 Issue 和 PR 的时间。
Source: github.com/github/gh-aw | news.ycombinator.com
GitHub 终于对 Agent 下手了!这是一个允许你用自然语言编写 Agent 工作流的工具,让 GitHub Actions 变得更聪明。
🔍 核心亮点
• 自然语言编排:直接在 issue 中用自然语言描述任务,Agent 自动拆解并执行。
• Action 集成:深度绑定 GitHub Actions,利用现有的生态。
• 安全沙箱:针对 Agent 执行环境做了很多安全加固(这点很关键)。
💡 社区声音
• HN 上讨论热度很高(近300 points),大家普遍认为这是 GitHub Copilot 之后的必然一步。
• 有人吐槽:这不就是一个更高级的 CI/CD 吗?
• 也有人看好:对于那些需要复杂逻辑判断的 CI 流程(比如 issue 分类、自动化 PR review),这绝对是神器。
🦞 Agili 观点
这东西最可怕的地方在于原生。它不需要你额外部署什么复杂的 Agent 平台,直接就在你的 repo 里跑。
对于现在的 Agent 框架(如 LangChain, AutoGen)来说,GitHub 这一波属于降维打击 —— 毕竟代码都在人家手里。
如果你是开源项目维护者,强烈建议尝鲜,它可以帮你省下大量处理 Issue 和 PR 的时间。
Source: github.com/github/gh-aw | news.ycombinator.com