🌐IPLC专线推荐选购指南:
https://iplc.best/

🤝 联系频道主:
@IPLC_BEST_CHATBOT
感觉不如nextdns / adguard
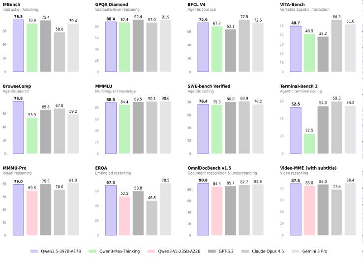
阿里开源Qwen3.5-Plus,性能媲美Gemini 3 Pro,登顶全球最强开源模型

千问3.5实现了底层模型架构的全面革新,此次发布的Qwen3.5-Plus版本总参数为3970亿,激活仅170亿,以小胜大,性能超过万亿参数的Qwen3-Max模型,部署显存占用降低60%,推理效率大幅提升,最大推理吞吐量可提升至19倍。Qwen3.5-Plus的API价格每百万Token低至0.8元,仅为Gemini 3 pro的1/18。

千问3.5在文本和视觉的混合数据上预训练,实现了原生多模态的新突破,在推理、编程、Agent智能体等全方位基准评估中均表现优异,并在视觉理解能力的权威评测中斩获数项性能最佳。

据悉,千问APP、PC端已第一时间接入Qwen3.5-Plus模型。开发者可在魔搭社区和HuggingFace下载新模型,或通过阿里云百炼直接获取API服务。

🗒 标签: #阿里巴巴 #千问 #Qwen
📢 频道: @GodlyNews1
🤖 投稿: @GodlyNewsBot
OpenClaw创始人加入OpenAI,Altman直言,Steinberger“是个天才”

Peter Steinberger最终拒绝Meta,选择加入OpenAI。


OpenAI CEO Sam Altman周日通过社交媒体X正式确认,开源智能体OpenClaw的创作者Peter Steinberger将加入公司。

对于市场关注的项目归属,双方给出了定心丸:OpenClaw不会被私有化,而是转入独立基金会继续开源,OpenAI承诺提供支持。
“Peter Steinberger加入OpenAI是为了推动下一代个人智能体(personal agents)的开发。” Altman写道,“我们预计这将很快成为我们产品供应的核心。”

“他(Steinberger)是个天才,对于未来非常聪明的智能体之间如何互动、从而为人类做非常有用的事情,有着许多惊人的想法。”

他强调:“未来将是一个极度多智能体(extremely multi-agent)的世界,作为其中的一部分,支持开源对我们来说很重要。”


Steinberger加入OpenAI后的核心任务非常明确且直白:解决AI的易用性。
我的下一个使命是构建一个连我妈妈都能使用的智能体。这需要更广泛的变革,对如何安全地实现这一目标进行更多的思考,以及获得最新模型和研究的权限。”


据透露,Meta打的是“CEO直聘”牌。扎克伯格不仅亲自试用产品,甚至与Steinberger通电话讨论代码细节,试图用“技术共鸣”打动对方。Steinberger曾评价:“小扎懂我。”

但最终,OpenAI用绝对的“硬实力”赢下了这一局。Altman直接展示了Cerebras合作带来的顶级算力潜能以及Codex模型的深度支持。在当前的AI研发中,算力即真理。

Steinberger坦言:“最终,我觉得OpenAI是继续推动我的愿景并扩大其影响力的最佳场所。”

🗒 标签: #OpenAI #OpenClaw
📢 频道: @GodlyNews1
🤖 投稿: @GodlyNewsBot
春晚YouTube直播,就说这种直播你能稳定4k不掉速,说明你的机器已经及格了,😂

https://www.youtube.com/watch?v=dKC5XWDkfRE
#AI #开源 #语音转文字

Handy

语音转文字工具,可在任何应用中通过快捷键启动录音、自动检测语音并实时生成文字,随后将转写结果自动粘贴至当前文本框,无需切换窗口,且完全离线运行,集成 Whisper 系列模型及 CPU 优化的 Parakeet V3 模型,既可在 GPU 环境下加速推理,也可在仅依赖 CPU 的通用设备上运行,免费开源,适用于 Windows、macOS 和 Linux 系统。

❤️主页 🐙GitHub

频道 @WidgetChannel
#AI #笔记 #开源

WitNote

一款本地优先的 AI 笔记助手,支持 Ollama / WebLLM / 云端 API 三种引擎自由切换,可选择任意文件夹作为笔记库,支持 .txt 和 .md 格式,内置 10+ 精选角色提示词(写作、翻译、润色等),支持一键切换与自定义,免费开源,适用于 macOS 和 Windows 平台。

https://github.com/hooosberg/WitNote

频道 @WidgetChannel
全自动、模块化的 Xray 一键脚本

本项目是一个高度模块化的 Shell 脚本,用于在 Linux 服务器上快速部署基于 Xray 核心的代理服务。支持最新的 Vision 和 XHTTP 协议,并集成了由 Reality 驱动的 SNI 伪装技术。

功能特性 (Features)
📦 模块化设计: 代码分为 Core、Lib、Tools 三大模块,逻辑清晰。
🔒 最新协议: 支持 Vision 和 XHTTP 协议,集成 Reality 伪装。
🛡 安全加固: 自动配置 Fail2ban 和防火墙。

一键安装 (Bootstrap)
bash <(curl -sL https://raw.githubusercontent.com/ISFZY/Xray-Auto/main/bootstrap.sh)

https://github.com/ISFZY/Xray-Auto GitHub - ISFZY/Xray-Auto: Xray 一键脚本,基于 VLESS + Reality-Vision/xhttp 顶尖流控协议。专为 Debian 和 Ubuntu 系统设计,提供极致的性能优化与安全防护。(An advanced…
#隐私 #通讯

✍️ Mosavi 一款最近爆火的端到端加密聊天应用

无需手机号码、无需邮箱、无需实名,界面长得很像微信。

这就是我对 Mosavi 的第一印象,所以中国区苹果商店昨日下架了此应用☹️

其最大特点便是去中心化的架构,软件基于 Nostr 协议,不依赖于某一台中心化服务器。所以即使官方跑路,只要有其他的中继站(Relay)存在,聊天就还能继续。

↗️ 相关阅读Bitchat - 通过蓝牙网状网络运行的去中心化信息应用程序
#邮箱 #模板

📧 邮件工作室 - 一款开源的可视化邮件编辑器

⭐️ 开源页面

通过直观的拖放界面,创建美观且响应式的邮件模板。可一键部署至 Vercel

发骚扰邮件的时候有用!

📮投稿 📢频道 💬群聊 🔎索引
#编程 #AI #代码

CodeWiki

Google 推出的 AI 原生代码文档自动化平台,只需提交 GitHub 仓库地址,即可结合 Gemini 生成连贯一致的维基式文档,实时更新超链接索引、架构图、调用关系图等内容,每个 CodeWiki 页面还嵌入了 Gemini 聊天助手,可用自然语言提问获取与该代码库上下文相关的解释、示例或路径导航,可显著提升新成员入职、遗留代码理解与审计效率,什么上古项目、屎山代码统统都不是问题了。

https://codewiki.google

频道 @WidgetChannel
#互联网观察

▎Mosavi 应用已从中国区 App Store 下架

近日,Mosavi 收到苹果公司的通知:根据中国国家互联网信息办公室(CAC)的相关要求,Mosavi 应用已从中国区 App Store 下架。对于此次调整给中国区用户带来的不便,Mosavi 深表歉意。

MOSAVI是一款基于Nostr协议的去中心化加密聊天应用。它完全免费且易于使用,采用端对端加密技术,来确保您与他人的通信内容完全私密。MOSAVI的注册过程极为简单,无需邮箱、电话、身份信息等任何可能暴露您个人隐私的资料。

MOSAVI拥有以下特点:
• 端到端加密:所有消息均采用强加密技术,只有发送者和接收者可以查看通信内容;
• 匿名注册:每个用户凭唯一的私钥登录,无需手机号或邮箱等即可注册使用;
• 去中心化架构:基于Nostr协议,无需依赖中心化服务器;
• 语音视频通话:您可使用高质量的语音视频通话功能;
• 创建聊天群组:可创建私密的聊天群组,用于工作、家庭、朋友间等各种情境。

频道 @AppDoDo 官推 APPDOTG
Back to Top