OpenClaw 使用本地Ollama模型配置
OpenClaw这玩意目前非常消耗Token,尝试使用本地Ollama+Qwen3-coder:30b 模型运 […]
via Kwx Blog (author: kwx)
OpenClaw这玩意目前非常消耗Token,尝试使用本地Ollama+Qwen3-coder:30b 模型运 […]
via Kwx Blog (author: kwx)
Grok 4.20 支持并行调度 4 个专业智能体——Grok、Harper、Benjamin、Lucas——协同执行任务。
马斯克表示,目前的 Grok 4.20 只是参数量 500B 的小型基础模型,尚处公测阶段。他还强调,Grok 4.20 的底层架构具备每周自我迭代的能力,递归式智能增长空间很大。
按他的说法,公测结束后,Grok 4.20 的智能和速度将比 Grok 4 提升约一个数量级。
他还称,Grok 4.20是「唯一一个被问到美国是否建立在被盗土地上时,不会含糊其辞的 AI。」,其他都是软蛋。
Grok 4.20 支持并行调度 4 个专业智能体——Grok、Harper、Benjamin、Lucas——协同执行任务。
马斯克表示,目前的 Grok 4.20 只是参数量 500B 的小型基础模型,尚处公测阶段。他还强调,Grok 4.20 的底层架构具备每周自我迭代的能力,递归式智能增长空间很大。
按他的说法,公测结束后,Grok 4.20 的智能和速度将比 Grok 4 提升约一个数量级。
他还称,Grok 4.20是「唯一一个被问到美国是否建立在被盗土地上时,不会含糊其辞的 AI。」,其他都是软蛋。
Claude Sonnet 4.6 是我们目前最强大的 Sonnet 模型,对编码、电脑操作、长上下文推理、智能体规划、知识类工作和设计能力都进行了全面升级。Sonnet 4.6 还在测试阶段支持 100 万token的上下文窗口。
价格与 Sonnet 4.5 相同,起价为每百万token $3 输出/ $15 输出。
对于我们的免费和Pro计划用户,Claude Sonnet 4.6 现已在 claude.ai 和 Claude Cowork 中设为默认模型。
ProxCenter 提供了一个现代化的统一 Web 界面,用于监控、管理和优化您的 Proxmox 虚拟化基础架构。您可以管理多个集群、自动进行工作负载均衡,并深入了解您的基础架构。
https://github.com/adminsyspro/proxcenter-ui
https://github.com/adminsyspro/proxcenter-ui
Since so many of you participated in this recent survey, we’ve got a little belated Valentine’s gift for you, in case you haven't claimed it already 🎁❤️
For a limited time, you can order a VPS 1000 or VPS 2000 (hourly billing) with no setup fee and no minimum contract period – perfect for testing projects as for example OpenClaw without any long-term commitment.
You can find the offer here 👉 https://sohub.io/af0v
For a limited time, you can order a VPS 1000 or VPS 2000 (hourly billing) with no setup fee and no minimum contract period – perfect for testing projects as for example OpenClaw without any long-term commitment.
You can find the offer here 👉 https://sohub.io/af0v
基于 Cloudflare 边缘网络的 Serverless 可用性监控与状态页
https://github.com/VrianCao/Uptimer/tree/master
https://github.com/VrianCao/Uptimer/tree/master
yt-dlp GUI
yt-dlp 图形化下载工具,可从 YouTube、TikTok、B 站等站点抓取视频、音频,甚至整个播放列表并一键下载,支持设置下载格式、清晰度、使用 cookie 下载、批量下载、内嵌历史记录管理,以及可选的代理支持以解决地区限制,免费开源,适用于 Windows 和 macOS 系统。
频道 @WidgetChannel
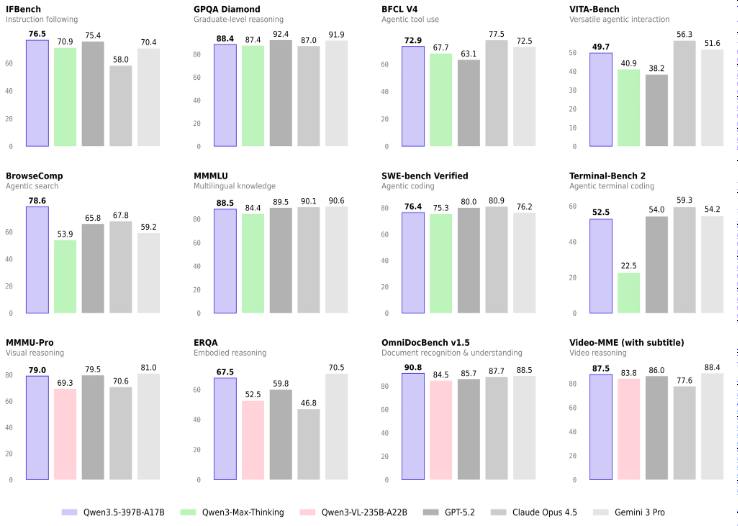
千问3.5实现了底层模型架构的全面革新,此次发布的Qwen3.5-Plus版本总参数为3970亿,激活仅170亿,以小胜大,性能超过万亿参数的Qwen3-Max模型,部署显存占用降低60%,推理效率大幅提升,最大推理吞吐量可提升至19倍。Qwen3.5-Plus的API价格每百万Token低至0.8元,仅为Gemini 3 pro的1/18。
千问3.5在文本和视觉的混合数据上预训练,实现了原生多模态的新突破,在推理、编程、Agent智能体等全方位基准评估中均表现优异,并在视觉理解能力的权威评测中斩获数项性能最佳。
据悉,千问APP、PC端已第一时间接入Qwen3.5-Plus模型。开发者可在魔搭社区和HuggingFace下载新模型,或通过阿里云百炼直接获取API服务。