ePN🌐IPLC专线推荐选购指南:
https://iplc.best/

🤝 联系频道主:
@IPLC_BEST_CHATBOT
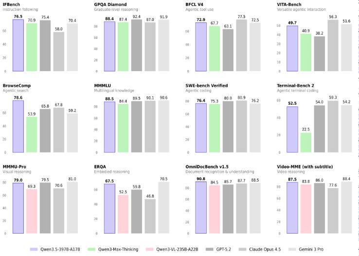
阿里开源Qwen3.5-Plus,性能媲美Gemini 3 Pro,登顶全球最强开源模型

千问3.5实现了底层模型架构的全面革新,此次发布的Qwen3.5-Plus版本总参数为3970亿,激活仅170亿,以小胜大,性能超过万亿参数的Qwen3-Max模型,部署显存占用降低60%,推理效率大幅提升,最大推理吞吐量可提升至19倍。Qwen3.5-Plus的API价格每百万Token低至0.8元,仅为Gemini 3 pro的1/18。

千问3.5在文本和视觉的混合数据上预训练,实现了原生多模态的新突破,在推理、编程、Agent智能体等全方位基准评估中均表现优异,并在视觉理解能力的权威评测中斩获数项性能最佳。

据悉,千问APP、PC端已第一时间接入Qwen3.5-Plus模型。开发者可在魔搭社区和HuggingFace下载新模型,或通过阿里云百炼直接获取API服务。

🗒 标签: #阿里巴巴 #千问 #Qwen
📢 频道: @GodlyNews1
🤖 投稿: @GodlyNewsBot
阿里巴巴在OpenRouter上架Qwen Plus 0728模型

阿里巴巴Qwen团队9月8日在OpenRouter上架了Qwen Plus 0728的两款模型,分别为不带思考和带思考的版本,可以通过API使用。

官方介绍:Qwen Plus 0728基于Qwen3基础模型,是一个性能、速度、成本组合均衡的拥有100万上下文的混合推理模型

来自阿里云页面的介绍:Qwen Plus能力均衡,推理效果、成本和速度介于Max和Flash之间,适合中等复杂任务。

价格:
输入0.4美元/每百万tokens
输出1.2美元/每百万tokens

OpenRouter链接:
Qwen Plus 0728
Qwen Plus 0728(thinking)

via 匿名

🗒 标签: #阿里巴巴 #Qwen #AI
📢 频道: @GodlyNews1
🤖 投稿: @GodlyNewsBot
阿里巴巴Qwen系列最强大的模型Qwen3-Max-Preview上线

阿里巴巴Qwen今日在官网和OpenRouter上线了最新的Qwen-3-Max-Preview模型。根据官网描述,该模型是Qwen系列中最强大的模型。

有关地址如下:

● 官网:Qwen Chat

OpenRouter

该模型在OpenRouter上的介绍和价格如下:

Qwen3-Max是基于Qwen3系列的更新,与2025年1月版本相比,在推理、指令跟随、多语言支持和长尾知识覆盖方面提供了重大改进。它在数学、编码、逻辑和科学任务中提供更高的准确性,更可靠地遵循中文和英文的复杂指令,减少幻觉,并为开放式问答、写作和对话生成更高质量的响应。

该模型支持超过100种语言,具有更强的翻译和常识推理能力,并针对检索增强生成(RAG)和工具调用进行了优化,尽管其不包括专门的“思考”模式。


● 输入:1.20 美元(现汇率约合 8.6 元人民币)/每百万 tokens

● 输出:6 美元(现汇率约合 42.8 元人民币)/每百万 tokens

via 匿名

🗒 标签: #阿里巴巴 #Qwen
📢 频道: @GodlyNews1
🤖 投稿: @GodlyNewsBot
阿里巴巴研发AI芯片,助力中国填补英伟达留下的空白

WSJ独家报道,阿里巴巴正在研发一款新的芯片,其功能比旧款芯片更全面。阿里巴巴曾长期是美国AI芯片领导者英伟达(Nvidia)的最大客户之一。如今,在英伟达对华销售产品遭遇监管壁垒后,阿里和其他芯片设计公司正在填补由此留下的空白。

阿里巴巴此前开发的云计算芯片大多是为特定应用设计的。据知情人士透露,目前阿里正在测试的新芯片旨在服务于更广泛的AI推理任务。他们表示,这款芯片由一家中国公司制造,这与阿里早前一款由台积电(TSMC)代工的AI处理器不同。

今年7月,总部位于上海的沐曦(MetaX)推出了一款新芯片,据称可以替代H20。该芯片比H20拥有更大的内存,这提升了其在某些AI任务上的处理能力,但功耗更高。沐曦周三表示,正在为该芯片的量产做准备。据知情人士透露,沐曦正在利用上一代技术制造新芯片,以突破瓶颈。沐曦将两块较小的芯片组合在一起,以弥补性能上的损失。

总部位于北京的AI芯片设计公司寒武纪科技在4月至6月季度取得了突破性进展,凭借其AI芯片思元590的强劲订单,营收达到2.47亿美元。公司股价上涨过快,以至于该公司周四警告投资者不要过于兴奋。周五其股价下跌6%,但寒武纪的市值仍超过870亿美元。

华为创始人任正非在6月接受《人民日报》采访时表示:芯片问题其实没必要担心,用叠加和集群等方法,计算结果上与最先进水平是相当的。软件方面,将来是千百种开源软件满足整个社会需要。

中国初创公司深度求索(DeepSeek)的模型正对OpenAI构成挑战。该公司最近在社交媒体上发表了一条隐晦的评论,暗示其软件创新可以与改进后的国产芯片相结合,用于训练某些AI模型,此番言论随即引发了中国股市的一波上涨。

专注于AI领域的基金管理公司Interconnected Capital的创始人Kevin Xu在博客中写道,这样的调整可能会让中国的AI开发者“比大多数人想象的更快地”缩小与美国的差距,在国内外对英伟达和美国的AI技术体系构成有力挑战。


via 匿名

🗒 标签: #阿里巴巴 #芯片 #AI
📢 频道: @GodlyNews1
🤖 投稿: @GodlyNewsBot
#境外AI #阿里 #Qoder #编程助手 #编程IDE

Qoder 是阿里推出AI编辑器

目前发布的预览版可以免费使用,后期应该按积分收费。

还看不出其用的哪家模型!

官网:https://qoder.com

来自频道:智能视界
阿里云盘的三方应用权益包即将推出,包括官方WebDAV,官方挂载盘

via 灰 灰

🗒 标签: #阿里云盘
📢 频道: @GodlyNews1
🤖 投稿: @GodlyNewsBot
通义千问GPT-4级主力模型降价97%,1块钱200万tokens

5月21日, 阿里云宣布通义千问GPT-4级主力模型Qwen-Long,API输入价格从0.02元/千tokens降至0.0005元/千tokens,直降97%。这意味着,1块钱可以买200万tokens。这款模型最高支持1千万tokens长文本输入,降价后约为GPT-4价格的1/400。(全天候科技)

🗒 标签: #阿里云 #通义千问
📢 频道: @GodlyNews1
🤖 投稿: @GodlyNewsBot
消息称阿里 1688 全面接入淘宝:将设立专门频道,重推严选贴牌源头厂货

3 月 25 日上午消息,据阿里巴巴内部人士透露,1688 近期启动全面入淘,先期开设三家店铺,后续这些店铺将整合成一个类似天猫超市的频道,并在淘宝推出 1688 严选贴牌的源头厂货。这意味着,1688 将携带百万源头厂商直接入驻淘宝。

该人士透露,1688 将在淘宝开设三家店铺,分别为严选淘宝店、企业自采天猫店和工业行家选天猫店。对源头厂商来说,不需要在淘宝开店,而是入驻 1688 店铺,通过半托管模式,与 1688 商量定价,把货交给 1688 后直连消费市场,有订单后商家负责发货和售后。

相关数据显示,目前 1688 的百万源头厂商里,工厂超过 60 万家。

via 匿名

🗒 标签: #阿里巴巴 #1688 #淘宝
📢 频道: @GodlyNews1
🤖 投稿: @GodlyNewsBot
#阿里云盘 #搜索 #web

Search Search Go

阿里云盘搜索引擎,主打一个简约高效,无广告无干扰,点击直接跳转阿里云盘,免费使用,无需注册。

实测搜索了一下,收录的资源还是蛮多的,软件影视音乐一应俱全,可以收藏一下。

频道 @WidgetChannel
#阿里云盘 #网盘 #资源

小纸条

一个综合的阿里云盘资源分享站点,有很多分类:电视电影动漫音乐软件文档图片等,质量还蛮不错的,免费好用,无需注册。

🪐频道 @WidgetChannel
📮投稿 @WidgetPlusBot
名称:边缘世界 4K超清晰 (更新第4集了)

描述:边缘世界 第一季的剧情简介 · · · · · ·
  该剧改编自赛博朋克小说之父威廉·吉布森的同名小说。讲述在未来的美国,科技逐渐改变着社会,而一位名叫弗琳·费舍(科洛·莫瑞兹 饰)的年轻女子发现了一台可以进入另一个现实世界的设备,并探索属于自己的黑暗未来。

链接:
https://www.aliyundrive.com/s/ruy8eFGhMao

📁 大小:10g
🏷 标签:
#美国 #剧情 #科幻 #惊悚 #阿里云盘 #边缘世界_4K超清晰__更新第4集了
🎉 来自:雷锋
📢 频道:
@shareAliyun
👥 群组:
@aliyundriveShare
🤖 投稿:
@aliyun_share_bot
 
 
Back to Top